Home
/ Rumus Rata-Rata Gabungan : Statistika Matematika Pengertian Rumus Dan Contoh Soal Haloedukasi Com - Kemudian, buka lampiran petunjuk teknis, kita cari nilai un smp, pada tabel.
Rumus Rata-Rata Gabungan : Statistika Matematika Pengertian Rumus Dan Contoh Soal Haloedukasi Com - Kemudian, buka lampiran petunjuk teknis, kita cari nilai un smp, pada tabel.
Rumus Rata-Rata Gabungan : Statistika Matematika Pengertian Rumus Dan Contoh Soal Haloedukasi Com - Kemudian, buka lampiran petunjuk teknis, kita cari nilai un smp, pada tabel.. Nah, caranya cukup mudah sekali dengan memulai menghitung jumlah data dari setiap kelompok dan selanjutnya jumlahkan serta bagi dengan semua data keseluruhan. Nah, caranya cukup mudah sekali dengan memulai menghitung jumlah data dari setiap kelompok dan selanjutnya jumlahkan serta bagi dengan semua data keseluruhan. Rataan dari sekumpulan data yang banyaknya n adalah jumlah data dibagi dengan banyaknya data. Karena nilai dan jumlah anggota yang ada di tiap kelompok bisa berbeda maka untuk mencarinya menggunakan rumus dasar: Jumlah nilai kelas b = 95 x 22 = 2090.
Anda dapat melakukan sebagai berikut: Trik menyelesaikan soal matematika smp : Rataan dari sekumpulan data yang banyaknya n adalah jumlah data dibagi dengan banyaknya data. Jika sobat penasaran dengan fungsi yang lain dari excel, kamu bisa membacanya di sini. Nah,kita dapat menggunakan rumus rataan gabungan di bawah ini untuk mencarinya….
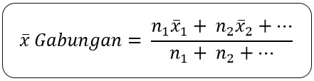
Nilai Rata Rata Ulangan Matematika 10 Siswa Adalah 55 Jika Digabung Lagi Dengan 5 Siswa Lain Nilai Rata Ratanya Menjadi 53 Nilai from studyassistant-id.com $\bar x_{gab}$ = rataan gabungan seluruh kelas. Pilihlah yang menurut anda lebih mudah. 7, 6, 8, 7, 5, 8, 7, 6, 8, 7. Anda dapat melakukan sebagai berikut: Nah, caranya cukup mudah sekali dengan memulai menghitung jumlah data dari setiap kelompok dan selanjutnya jumlahkan serta bagi dengan semua data keseluruhan. Nah,kita dapat menggunakan rumus rataan gabungan di bawah ini untuk mencarinya…. Seringkali kita memiliki data yang terdiri dari beberapa kelompok/kategori yang masing2 ki. Rumus rata rata gabungan adalah penentuan mean lebih mendalam karena melibatkan beberapa kelompok data.
Terimakasih sudah mengunjungi idschool(dot)net, semoga bermanfaat.
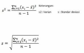
Standar deviasi gabungan, s, dihitung menurut rumus Pilihlah yang menurut anda lebih mudah. Penggunaan logika if sering tidak stand alone menggunakan rumus itu … Rataan dari sekumpulan data yang banyaknya n adalah jumlah data dibagi dengan banyaknya data. Seringkali kita memiliki data yang terdiri dari beberapa kelompok/kategori yang masing2 ki. Jika sobat penasaran dengan fungsi yang lain dari excel, kamu bisa membacanya di sini. Hipotesis yang dibuat sebagai berikut. Hasil kedua metode berbeda secara nyata. Selain tabel asli, masukkan rumus di bawah ini ke dalam. Rata rata nilai ulangan matematika 25 siswa 6. Karena nilai dan jumlah anggota yang ada di tiap kelompok bisa berbeda maka untuk mencarinya menggunakan rumus dasar: Oleh sebab itu, kadang kala kita juga harus menghitung nilai rata rata dari 2 atau lebih kelompok tersebut. Rumus rata rata gabungan adalah penentuan mean lebih mendalam karena melibatkan beberapa kelompok data.
Jika sobat penasaran dengan fungsi yang lain dari excel, kamu bisa membacanya di sini. Nah,kita dapat menggunakan rumus rataan gabungan di bawah ini untuk mencarinya…. Kembali ke pembahasan rumus excel if. Seringkali kita memiliki data yang terdiri dari beberapa kelompok/kategori yang masing2 ki. Selain tabel asli, masukkan rumus di bawah ini ke dalam.
Cara Menghitung Rata Rata Mean Dengan Mudah from nilaimutlak.id Pada soal kita lihat x̄ lebih besar dari x̄ 2, maka x̄ 1 pasti lebih besar dari x̄. Dengan begitu rumusnya kita balik dan disesuaikan dengan rumus di atas : Karena nilai dan jumlah anggota yang ada di tiap kelompok bisa berbeda maka untuk mencarinya menggunakan rumus dasar: Pilihlah yang menurut anda lebih mudah. Ada dua cara untuk menghitung rumus pertumbuhan penjualan 1. Rumus rata rata gabungan adalah penentuan mean lebih mendalam karena melibatkan beberapa kelompok data. Hipotesis yang dibuat sebagai berikut. Rata rata nilai ulangan matematika 25 siswa 6.
Added 21.27, contoh soal :
Apakah hasil dari kedua metode tersebut berbeda secara nyata ? Rata rata nilai ulangan matematika 25 siswa 6. Kemudian, buka lampiran petunjuk teknis, kita cari nilai un smp, pada tabel. Terimakasih sudah mengunjungi idschool(dot)net, semoga bermanfaat. Rumus rata rata gabungan adalah penentuan mean lebih mendalam karena melibatkan beberapa kelompok data. Jumlah nilai kelas b = 95 x 22 = 2090. Anda dapat melakukan sebagai berikut: Nilai ulangan matematika govin pada semester 1 adalah sebagai berikut : $\large \bar x_{gab}=\frac{\bar x_1.n_1+\bar x_2.n_2+\bar x_3.n_3}{n_1+n_2+n_3}$ keterangan : Nah, caranya cukup mudah sekali dengan memulai menghitung jumlah data dari setiap kelompok dan selanjutnya jumlahkan serta bagi dengan semua data keseluruhan. Rataan dari sekumpulan data yang banyaknya n adalah jumlah data dibagi dengan banyaknya data. Pada soal kita lihat x̄ lebih besar dari x̄ 2, maka x̄ 1 pasti lebih besar dari x̄. Dengan begitu rumusnya kita balik dan disesuaikan dengan rumus di atas :
Nah, caranya cukup mudah sekali dengan memulai menghitung jumlah data dari setiap kelompok dan selanjutnya jumlahkan serta bagi dengan semua data keseluruhan. Penggunaan logika if sering tidak stand alone menggunakan rumus itu … Ada dua cara untuk menghitung rumus pertumbuhan penjualan 1. Seringkali kita memiliki data yang terdiri dari beberapa kelompok/kategori yang masing2 ki. Dengan begitu rumusnya kita balik dan disesuaikan dengan rumus di atas :
Cara Mudah Menentukan Rata Rata Gabungan Soal Cerita Atau Banyak Data Youtube from i.ytimg.com Ada dua cara untuk menghitung rumus pertumbuhan penjualan 1. Trik menyelesaikan soal matematika smp : Dari soal di atas , diketahui : Selain tabel asli, masukkan rumus di bawah ini ke dalam. Pilihlah yang menurut anda lebih mudah. Fungsi ini bisa menangani hingga 225 argumen individu yang bisa mencakup angka, referensi sel, rentang, larik, dan konstanta. Nah, caranya cukup mudah sekali dengan memulai menghitung jumlah data dari setiap kelompok dan selanjutnya jumlahkan serta bagi dengan semua data keseluruhan. Nah,kita dapat menggunakan rumus rataan gabungan di bawah ini untuk mencarinya….
Penggunaan logika if sering tidak stand alone menggunakan rumus itu …
Apakah hasil dari kedua metode tersebut berbeda secara nyata ? Selain tabel asli, masukkan rumus di bawah ini ke dalam. Nah,kita dapat menggunakan rumus rataan gabungan di bawah ini untuk mencarinya…. Oleh sebab itu, kadang kala kita juga harus menghitung nilai rata rata dari 2 atau lebih kelompok tersebut. N1 = 25, n2 = 5 x1 = 6, dan x2 = 8 Hasil kedua metode berbeda secara nyata. Jika sobat penasaran dengan fungsi yang lain dari excel, kamu bisa membacanya di sini. Nilai ulangan matematika govin pada semester 1 adalah sebagai berikut : Dengan begitu rumusnya kita balik dan disesuaikan dengan rumus di atas : Pada soal kita lihat x̄ lebih besar dari x̄ 2, maka x̄ 1 pasti lebih besar dari x̄. Nah, caranya cukup mudah sekali dengan memulai menghitung jumlah data dari setiap kelompok dan selanjutnya jumlahkan serta bagi dengan semua data keseluruhan. Ada dua cara untuk menghitung rumus pertumbuhan penjualan 1. Rumus rata rata gabungan adalah penentuan mean lebih mendalam karena melibatkan beberapa kelompok data.
Share
Post a Comment
for "Rumus Rata-Rata Gabungan : Statistika Matematika Pengertian Rumus Dan Contoh Soal Haloedukasi Com - Kemudian, buka lampiran petunjuk teknis, kita cari nilai un smp, pada tabel."
Post a Comment for "Rumus Rata-Rata Gabungan : Statistika Matematika Pengertian Rumus Dan Contoh Soal Haloedukasi Com - Kemudian, buka lampiran petunjuk teknis, kita cari nilai un smp, pada tabel."